
Uniform circular motion refers to the motion of an object moving in a circle at a constant speed. Despite the constant speed, the direction of the object’s velocity continuously changes as it moves along the circular path. This change in direction means that the object experiences acceleration, even though its speed remains constant.
Key Concepts:
-
Centripetal Force: The force that keeps an object moving in a circular path, directed toward the center of the circle. This force is necessary to change the direction of the object’s velocity without altering its speed.
-
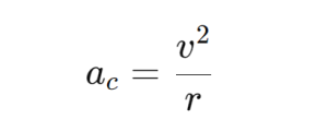
Centripetal Acceleration: The acceleration experienced by an object in uniform circular motion, also directed toward the center of the circle. It can be calculated using the formula:
where v is the object’s speed, and r is the radius of the circular path.
-
Velocity: The speed of the object in a given direction. In circular motion, even though the speed remains constant, the velocity changes due to the continuous change in direction.
-
Period (T): The time it takes for an object to complete one full revolution around the circle. It is related to the speed and radius by the formula:

-
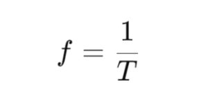
Frequency (f): The number of revolutions an object makes per unit time, which is the reciprocal of the period:
-
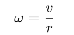
Angular Velocity (ω\omega): The rate at which the object sweeps out an angle as it moves along the circular path. It can be related to the speed and radius by:
or to the period by:
Example:
Consider a car moving at a constant speed around a circular track. The centripetal force required to keep the car on the track is provided by the friction between the tires and the road. If the car’s speed increases or the radius of the track decreases, the required centripetal force increases.
In uniform circular motion, the object does not speed up or slow down, but it is constantly changing direction, which means it is accelerating. This acceleration is always directed toward the center of the circular path.





Leave a Reply